廉政新闻
廉政动态
头条新闻
审查调查
廉政图解
廉洁文化
以案为鉴
廉政共建
社团组织
律所
司法
法院
检察
公安
廉政在线
福建
江西
安徽
河北
浙江
山东
湖南
四川
黑龙江
山西
宁夏
陕西
贵州
吉林
河南
广东
辽宁
内蒙古
北京
广西
云南
江苏
海南
湖北
上海
重庆
天津
青海
西藏
甘肃
搜 索
廉政新闻
廉政动态
头条新闻
审查调查
廉政图解
廉洁文化
以案为鉴
廉政共建
廉政在线
视频
高层动态
高端论坛
名家专栏
一线报道
民生与法
法律服务
廉政人物
司法案例
企业与法
廉政服务
以案警示
人员查询
关于我们
帮助中心
廉政内参
首页
>
廉政共建
>
公安
> 正文
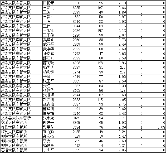
吕梁市公安局交通管理支队向社会公布辖区机动车驾驶人培训学校培训合格率、考试员考试质量情况
2026-04-01
来源:廉政中国
编辑:小编
廉政中国讯(孙锁贵 陈宏伟)
根据公安部交管局工作要求,吕梁市公安局交管支队现向社会公布辖区机动车驾驶人培训学校培训合格率、考试员考试质量情况。
机动车驾驶人培训学校培训合格率
考试员考试质量
扫描二维码分享到手机
查看更多 >
视频
山风吹拂金达莱 光影铸魂忠骨存
公安部推出《中国公安》国际形象宣传片
高温慰问沁人心 凝心聚力鼓干劲——太原市政集团开展2025年夏季“送
晋中学习运用“千万工程”经验 实施百乡(村)示范“千村治理”行动
查看更多 >
廉政共建
吕梁市公安局交通管理支队向社会公布辖区机动车驾驶人培训学校培
乘势而上 接续奋斗 为实现“十五五”良好开局贡献公安力量——山西吕
检社共建 清风同行——晋城高平市人民检察院与龙欣社区走进高平市廉政警
检警协同凝共识,提质增效谋新篇——山西平遥县人民检察院与县公安局联合召
查看更多 >
廉政在线
城管进社区 服务零距离——晋城市城管执法三大队联动社区共绘
临汾市中心医院麻醉科承办市卫健委麻醉专业质控部尧都区活动
临汾市中心医院老年医学科承办市卫健委老年医学科质控部基层巡讲襄汾站活动
深耕课堂沃土 共绘育人蓝图——临汾平阳中学初中部召开教学研讨会
返回
顶部